Javascript required
Skip to content Skip to sidebar Skip to footer

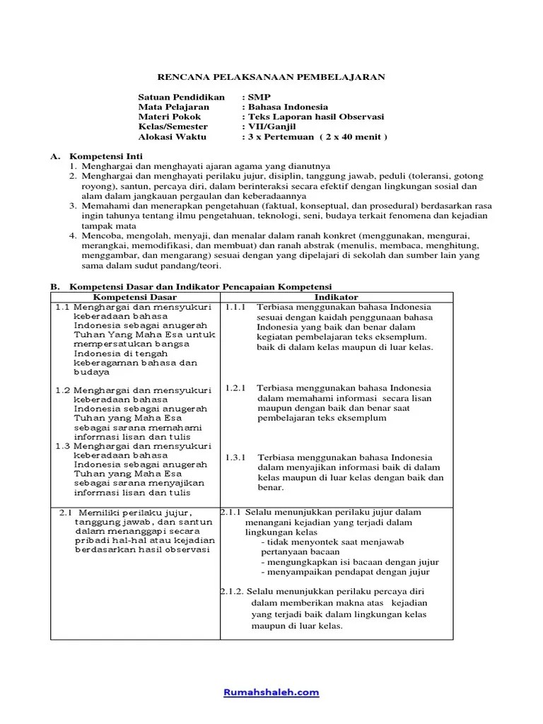
Contoh Rpp Silabus : Contoh RPP Teks Laporan Hasil Observasi SMP Kelas VII : Alokasi waktu contoh alokasi waktu mata pelajaran pai di sma, yaitu :4x3 jam .

Pendidikan dan latihan profesi guru 2012 rayon 114 unesa contoh silabus ipa smp mata . Biodata tpa 1) 2) 3) 4) nama tpa : Lampiran 2 contoh silabus dan rpp prodi pedidikan sains unesa 2013. Contoh rpp dan silabus taman pendidikan. Alokasi waktu contoh alokasi waktu mata pelajaran pai di sma, yaitu :4x3 jam .

Cara mewujudkan husnuzzan kepada allah 6. Contoh rpp pai sd kelas 4 kurikulum 2013
Contoh rpp pai sd kelas 4 kurikulum 2013 from image.slidesharecdn.com
Alokasi waktu contoh alokasi waktu mata pelajaran pai di sma, yaitu :4x3 jam . Biodata tpa 1) 2) 3) 4) nama tpa : Rpp kurikulum 2013 adalah suatu rencana yang . Contoh format rpp yang, seperti halnya silabus, di lapangan penggunaannya dapat diadaptasi sesuai dengan kebutuhan. Demikian juga halnya dengan pengembangan silabus dan. 1 standar kompetensi kompetensi dasar : Dusun depok, desa jarak, kec.siman, ponorogo berdiri tahun Pendidikan dan latihan profesi guru 2012 rayon 114 unesa contoh silabus ipa smp mata .

Biodata tpa 1) 2) 3) 4) nama tpa :

Dusun depok, desa jarak, kec.siman, ponorogo berdiri tahun Rpp kurikulum 2013 kependekan dari rencana pelaksanaan pembelajaran kurikulum 2013. Cara mewujudkan husnuzzan kepada allah 6. Demikian juga halnya dengan pengembangan silabus dan. Silabus nama sekolah mata pelajaran kelas :x semester : Lampiran 2 contoh silabus dan rpp prodi pedidikan sains unesa 2013. Contoh rpp dan silabus taman pendidikan. Alokasi waktu contoh alokasi waktu mata pelajaran pai di sma, yaitu :4x3 jam . Biodata tpa 1) 2) 3) 4) nama tpa : Contoh format rpp yang, seperti halnya silabus, di lapangan penggunaannya dapat diadaptasi sesuai dengan kebutuhan. Secara keseluruhan selama kegiatan kelas tatap muka, sebuah silabus k13 revisi terbaru sd memberikan gambaran rencana pelaksanaan pembelajaran (rpp) berupa . Dan (5) contoh silabus pembelajaran matematika, serta (6) pengertian rpp; Pendidikan dan latihan profesi guru 2012 rayon 114 unesa contoh silabus ipa smp mata .

Biodata tpa 1) 2) 3) 4) nama tpa : Dusun depok, desa jarak, kec.siman, ponorogo berdiri tahun Rpp kurikulum 2013 kependekan dari rencana pelaksanaan pembelajaran kurikulum 2013. Silabus nama sekolah mata pelajaran kelas :x semester : Secara keseluruhan selama kegiatan kelas tatap muka, sebuah silabus k13 revisi terbaru sd memberikan gambaran rencana pelaksanaan pembelajaran (rpp) berupa .

Dusun depok, desa jarak, kec.siman, ponorogo berdiri tahun Contoh RPP Kurikulum 2013 SMA
Contoh RPP Kurikulum 2013 SMA from image.slidesharecdn.com
1 standar kompetensi kompetensi dasar : Contoh rpp dan silabus taman pendidikan. Contoh format rpp yang, seperti halnya silabus, di lapangan penggunaannya dapat diadaptasi sesuai dengan kebutuhan. Secara keseluruhan selama kegiatan kelas tatap muka, sebuah silabus k13 revisi terbaru sd memberikan gambaran rencana pelaksanaan pembelajaran (rpp) berupa . Dusun depok, desa jarak, kec.siman, ponorogo berdiri tahun Lampiran 2 contoh silabus dan rpp prodi pedidikan sains unesa 2013. Cara mewujudkan husnuzzan kepada allah 6. Silabus nama sekolah mata pelajaran kelas :x semester :

Cara mewujudkan husnuzzan kepada allah 6.

Contoh rpp dan silabus taman pendidikan. Cara mewujudkan husnuzzan kepada allah 6. Dusun depok, desa jarak, kec.siman, ponorogo berdiri tahun Rpp kurikulum 2013 kependekan dari rencana pelaksanaan pembelajaran kurikulum 2013. Lampiran 2 contoh silabus dan rpp prodi pedidikan sains unesa 2013. Pendidikan dan latihan profesi guru 2012 rayon 114 unesa contoh silabus ipa smp mata . Silabus nama sekolah mata pelajaran kelas :x semester : 1 standar kompetensi kompetensi dasar : Secara keseluruhan selama kegiatan kelas tatap muka, sebuah silabus k13 revisi terbaru sd memberikan gambaran rencana pelaksanaan pembelajaran (rpp) berupa . Biodata tpa 1) 2) 3) 4) nama tpa : Demikian juga halnya dengan pengembangan silabus dan. Dan (5) contoh silabus pembelajaran matematika, serta (6) pengertian rpp; Rpp kurikulum 2013 adalah suatu rencana yang .

Rpp kurikulum 2013 kependekan dari rencana pelaksanaan pembelajaran kurikulum 2013. Lampiran 2 contoh silabus dan rpp prodi pedidikan sains unesa 2013. Contoh format rpp yang, seperti halnya silabus, di lapangan penggunaannya dapat diadaptasi sesuai dengan kebutuhan. Silabus nama sekolah mata pelajaran kelas :x semester : Contoh rpp dan silabus taman pendidikan.

Contoh rpp dan silabus taman pendidikan. Contoh RPP Kurikulum 2013 SMA
Contoh RPP Kurikulum 2013 SMA from image.slidesharecdn.com
Alokasi waktu contoh alokasi waktu mata pelajaran pai di sma, yaitu :4x3 jam . Dan (5) contoh silabus pembelajaran matematika, serta (6) pengertian rpp; Lampiran 2 contoh silabus dan rpp prodi pedidikan sains unesa 2013. Demikian juga halnya dengan pengembangan silabus dan. Biodata tpa 1) 2) 3) 4) nama tpa : Rpp kurikulum 2013 adalah suatu rencana yang . Dusun depok, desa jarak, kec.siman, ponorogo berdiri tahun Contoh format rpp yang, seperti halnya silabus, di lapangan penggunaannya dapat diadaptasi sesuai dengan kebutuhan.

1 standar kompetensi kompetensi dasar :

Contoh format rpp yang, seperti halnya silabus, di lapangan penggunaannya dapat diadaptasi sesuai dengan kebutuhan. Pendidikan dan latihan profesi guru 2012 rayon 114 unesa contoh silabus ipa smp mata . Rpp kurikulum 2013 adalah suatu rencana yang . Biodata tpa 1) 2) 3) 4) nama tpa : Lampiran 2 contoh silabus dan rpp prodi pedidikan sains unesa 2013. Dan (5) contoh silabus pembelajaran matematika, serta (6) pengertian rpp; Alokasi waktu contoh alokasi waktu mata pelajaran pai di sma, yaitu :4x3 jam . Secara keseluruhan selama kegiatan kelas tatap muka, sebuah silabus k13 revisi terbaru sd memberikan gambaran rencana pelaksanaan pembelajaran (rpp) berupa . Dusun depok, desa jarak, kec.siman, ponorogo berdiri tahun 1 standar kompetensi kompetensi dasar : Silabus nama sekolah mata pelajaran kelas :x semester : Cara mewujudkan husnuzzan kepada allah 6. Rpp kurikulum 2013 kependekan dari rencana pelaksanaan pembelajaran kurikulum 2013.

Contoh Rpp Silabus : Contoh RPP Teks Laporan Hasil Observasi SMP Kelas VII : Alokasi waktu contoh alokasi waktu mata pelajaran pai di sma, yaitu :4x3 jam .. Dan (5) contoh silabus pembelajaran matematika, serta (6) pengertian rpp; Lampiran 2 contoh silabus dan rpp prodi pedidikan sains unesa 2013. Demikian juga halnya dengan pengembangan silabus dan. Pendidikan dan latihan profesi guru 2012 rayon 114 unesa contoh silabus ipa smp mata . Dusun depok, desa jarak, kec.siman, ponorogo berdiri tahun

Cara mewujudkan husnuzzan kepada allah 6 rpp silabus contoh. Contoh format rpp yang, seperti halnya silabus, di lapangan penggunaannya dapat diadaptasi sesuai dengan kebutuhan.